
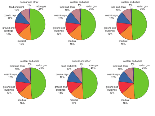
Full Lesson PowerPoint and resources to teach the GCSE 9-1 specification Physics lesson on Background Radiation. It covers sources of background radiation and how the amount of radioactivity can be measured, what background radiation is and how radiation measurements need to be corrected to account for background radiation and details of how a Geiger–Müller tube works.
Updated 04/03/2021
The resource is appropriate for Triple and Combined Science classes, Foundation and Higher tiers.
You can download the FREE resource “GCSE Physics EDEXCEL 9-1 SP6 & CP6 Radioactivity Lesson outline and equipment list” for this topic from my TES shop. The FREE sample lesson “GCSE Physics Energy Stores and Transfers FULL LESSON (Edexcel 9-1 CP3a SP3a) Conservation of Energy” is also available to download from my TES shop.
Get this resource as part of a bundle and save up to 15%
A bundle is a package of resources grouped together to teach a particular topic, or a series of lessons, in one place.
Radioactivity SP6 Edexcel 9-1 GCSE Physics
Full lessons with resources for those teaching GCSE Edexcel Physics Topic 6 (for Triple Science and covers what you need for Combined Science Topic 6). Lessons include easy to follow presentations that promote high levels of pupil engagement. If you are also teaching Combined Science this is covered here. If you are teaching only Combined Science the CP6 bundle will be more suited to you. The bundle includes 13 full lessons with associated resources plus my lesson overview and resources list for the topic. A very small number of the resources require access to Pearson Active Teach, however, the vast majority are included in the presentations or as a separate file.
Radioactivity CP6 Edexcel 9-1 GCSE Physics
Full lessons with resources for those teaching GCSE Edexcel Physics Topic 6 for Combined Science. Lessons include easy to follow presentations that promote high levels of pupil engagement. If you are also teaching Triple Science SP6 bundle will be more suited to you as it contains the extra content needed (13 lesson in total). This bundle includes 8 full lessons with associated resources plus my lesson overview and resources list for the topic (ones highlighted in blue for combined science). A very small number of the resources require access to Pearson Active Teach, however, the vast majority are included in the presentations or as a separate file.
Something went wrong, please try again later.
This resource hasn't been reviewed yet
To ensure quality for our reviews, only customers who have purchased this resource can review it
Report this resourceto let us know if it violates our terms and conditions.
Our customer service team will review your report and will be in touch.