Reading Age TestQuick View
2011teaching

Reading Age Test

(3)
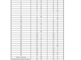
Using the Hertfordshire Reading Age test I put the sentences with a colourful background to either print and laminate or to use on screen. There are 31 sentences. Ask the child to read aloud each sentence in their own time. Avoid correcting any inaccuracies; allow the child to correct themselves. When the child is unable to correct the inaccuracy, reassure the child they are doing well and that they can move to the next sentence when they are ready. Note this as the 1st inaccuracy. On the 4th inaccuracy, the child can stop reading any further. You will be able to determine the child’s reading age from the chart attached. e.g. if a child makes their 4th inaccuracy at sentence 20: for a boy his reading age is 10 years and 4 months and for a girl 10 years and 3 months. A child who regularly reads can have an expected reading age of their actual age plus 6 months. With daily guided reading a child can reach this and beyond.