Discovering and making tessellations for KS3 or end of term resources. I would suggest using tessellation tiles as a hands on activity if you have them in your school!
Feedback always greatly appreciated!
I got fed up of hunting for resources. So made this, hope it helps!
A quick powerpoint I’ve made on assessing understanding of Rounding, Upper and Lower bounds ( all of which is animated as I plan to use Mini whiteboards to check their knowledge) then leading to calculations.
An introduction to sum of interior angles in a polygon and finding angles in a regular polygon. Extending to tessellations plenary. All followed with optional worksheet.
It was used for an interview lesson and was praised a lot! I would be really grateful for your feedback! :)
Angle facts, including introduction and questions on angles special triangles and quadrilaterals. Involves a fact matching activity for quadrilateral properties.
A worksheet providing pupils with the chance to investigate how the gradient changes when lines are parallel to then being perpendicular. An extension and challenge worksheet are also provided which work towards GCSE style questions.
A substitution code breaker which enables pupils to ensure skills required to substitute into equations so they can plot a graph. The code breaker then provides the key words required for the equation of a straight line i.e. gradient, intercept. My pupils have really enjoyed it!
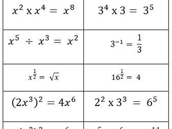
A review of index laws, introducing algebraic bases through prior knowledge of numerical bases.
Pack includes starter recapping prior learning, a main activity of true/false numerical bases and algebraic, leading to written task to assess learning.
Used for observation, was well praised.
Plotting lines with the same y intercept, then same gradient to recognise the format of the equation of a straight line, extending to finding the equation of a straight line and challenge worksheets for quick learners.
A group of resources ideal for introducing and expanding knowledge on straight line graphs, extending to parallel and perpendicular lines. Includes a key word substitution code breaker, for pupils to discover the words gradient, intercept needed for the lesson.
Area of sectors worksheet which includes extension and challenge questions to help engage and further extend pupils knowledge in real life problem solving questions.
A two page worksheet (set up to print 2 sheets per page), involving finding the arc length and finding the missing angle or radius given the arc length. Includes a problem solving extension task.
Used with KS3 (could also be used with KS4) to complete the topic of angles in polygons, to draw regular polygons in circles given their exterior angles. Complete with worksheet to support drawing. Pupils can then make their own patterns when complete, a nice way to complete a topic by adding a bit of creativity!
A worksheet bundle for solving equations on one side, including fractions and brackets; moving on to forming and solving equations. Challenge worksheets involving exam style questions also provided as extension.