PROTEIN SYNTHESISQuick View
destinationdimple

PROTEIN SYNTHESIS

(0)
The resource is a set of multiple choice questions. The same can be used as a revision activity or test. The answer key is provided
ENTHALPY CHANGEQuick View
destinationdimple

ENTHALPY CHANGE

(0)
This resource is a set of multiple choice questions. It may be used to revise the topic or as a test.Many questions are accompanied by graphs or pictures which make the resource more useful for the learner especially when recalling concepts.The Answer Key is provided.
VECTORSQuick View
destinationdimple

VECTORS

(0)
The resource is a set of multiple choice questions that may be used for revision or as a test. Answer key is provided
ElectricityQuick View
destinationdimple

Electricity

(0)
The resource is a set of multiple choice questions that may be used for revision or as a test. Most questions are supported by relevant circuit diagrams or symbols. The answer key is provided
Functional groups and Homologous SeriesQuick View
destinationdimple

Functional groups and Homologous Series

(0)
The resource is a set of questions that may be used as a recap exercise or class test to check the learners grasp of concepts. Appropriate pictures and structural formulae are attached as per question requirement. The answer key is also attached
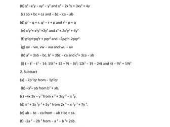
Algebra- Identities and factorisationQuick View
destinationdimple

Algebra- Identities and factorisation

(1)
The resource is primarily for the use of math students aged 13 to 15 wanting to practise algebra sums dealing with algebric identities.The resource can be used by teachers as a worksheet or as a test for their student.
Chemical Reactions- Practice QuestionsQuick View
destinationdimple

Chemical Reactions- Practice Questions

(1)
This resource may be used by chemistry students aged 14-16+. The resource contains questions pertaining to types of chemical reactions , chemical equations and conceptual problems. Teachers may use the resource as a test for their students or as practice assignment
TitrationsQuick View
destinationdimple

Titrations

(0)
This resource is a complete guide to the process and calculations involved in volumetric analysis. I have added to previously available Tes resources and put together a comprehensive powerpoint.
Chemical ReactionsQuick View
destinationdimple

Chemical Reactions

(0)
The resource provides a set of equations that may be categorised as examples of the various types of chemical reactions((combination/synthesis, decomposition, combustion, Redox, neutralisation, precipitation)
SURDS AND INDICESQuick View
destinationdimple

SURDS AND INDICES

(0)
THE RESOURCE CONTAINS A SET OF SUMS FOR TESTING OR HELPING THE LEARNER PRACTICE THE CONCEPTS OF SURDS AND INDICES.THE ANSWER KEY IS PROVIDED ALONGSIDE
Cell Biology- Conceptual questionsQuick View
destinationdimple

Cell Biology- Conceptual questions

(0)
the resource includes questions on Microscopy, prokaryotic and eukaryotic cell, animal and plant cell, transportation in cell ,cell specialisation, stem cells, cell cycle and cell division