Sentence TypesQuick View
tasha1988

Sentence Types

(22)
A powerpoint created for use with my year 5 literacy set. It outlines the three types of sentences and explains how to use a subordinate clause in the middle of a main clause. It also include examples at the end for the children to identify the clauses. A set of sentences for children to add in subordinate clauses. I printed them to A3 and got the children to cut them up and add in a subordinate clause on a coloured piece of paper.
Time word problemsQuick View
tasha1988

Time word problems

(5)
Two differentiated worksheets used with lower ability year 5 pupils at the end of our time topic. Could be adapted for use with other years.
Food groupsQuick View
tasha1988

Food groups

(0)
Powerpoint on food groups and food pyramid. We then created healthy plates using paper plates and tissue paper.
E safetyQuick View
tasha1988

E safety

(0)
Powerpoint and supporting documents for a complete lesson on e-safety
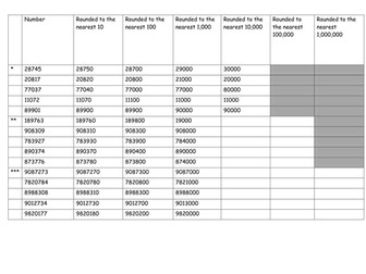
Rounding to one million year 5Quick View
tasha1988

Rounding to one million year 5

(0)
A worksheet and answer sheet with three levels of differentiation. This incorporates rounding numbers from 5 digit numbers up to 7 digit numbers. Set out as a table. Children need to round each number to the nearest 10,100,1000,10000,100000 or 1000000 where relevant.
Place value of decimalsQuick View
tasha1988

Place value of decimals

(0)
A set of 3 levelled questions on place value of decimals. Includes mastery questions and is linked to the new curriculum. Includes answers too.
Number, place value, addition and subtraction year 4Quick View
tasha1988

Number, place value, addition and subtraction year 4

(0)
A complete resource pack for number and place value and addition and subtraction for year 4 based on the new curriculum. All resources include mastery questions for the new curriculum. All resources include 3 levels of differentiation and mastery questions for each level. Also includes answers for each question.
Place value and rounding year 4 top setQuick View
tasha1988

Place value and rounding year 4 top set

(0)
A complete resource including mastery questions for the new curriculum. Includes 3 levels of differentiation and mastery questions for each level. Also includes answers for each question.
Roman numerals top set year 4Quick View
tasha1988

Roman numerals top set year 4

(0)
A complete resource including mastery questions for the new curriculum. Includes 3 levels of differentiation and mastery questions for each level. Also includes answers for each question.