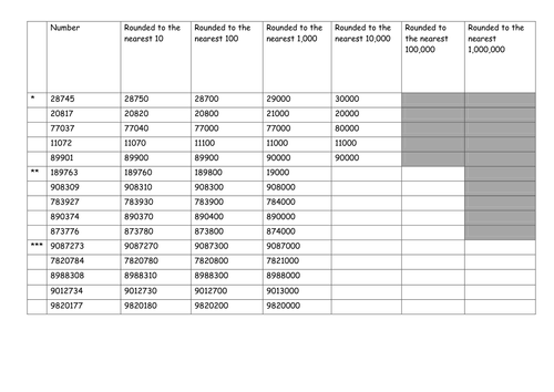
A worksheet and answer sheet with three levels of differentiation.
This incorporates rounding numbers from 5 digit numbers up to 7 digit numbers.
Set out as a table.
Children need to round each number to the nearest 10,100,1000,10000,100000 or 1000000 where relevant.
This incorporates rounding numbers from 5 digit numbers up to 7 digit numbers.
Set out as a table.
Children need to round each number to the nearest 10,100,1000,10000,100000 or 1000000 where relevant.
Something went wrong, please try again later.
This resource hasn't been reviewed yet
To ensure quality for our reviews, only customers who have purchased this resource can review it
Report this resourceto let us know if it violates our terms and conditions.
Our customer service team will review your report and will be in touch.
£3.00