Discovering Pythagoras' TheoremQuick View
smawditt

Discovering Pythagoras' Theorem

(5)
Through a very successful geometric investigation, students discover the link between areas of squares on a right angled triangle and rewrite Pythagoras' Theorem. Available in SMART and powerpoint.
Introduction to AlgebraQuick View
smawditt

Introduction to Algebra

(3)
Two lessons which take students from building sequences with cubes to solving linear equations. A ready to use, tried and tested resource with hugely successful results. Available for download in Powerpoint and SMART.
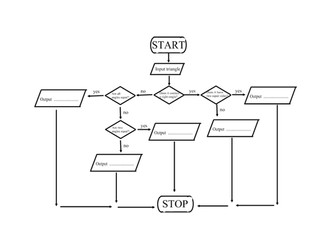
Describing, analysing and sorting quadrilateralsQuick View
smawditt

Describing, analysing and sorting quadrilaterals

(1)
Three lessons which both teach the names and features of quadrilaterals and introduce students to the use of flow diagrams. Includes three powerpoint presentations, two worksheets and a "What am I?" bingo game.