docx, 190.77 KB
docx, 190.77 KB
pptx, 419.62 KB
pptx, 419.62 KB
docx, 195.06 KB
docx, 195.06 KB
pptx, 539.15 KB
pptx, 539.15 KB
pptx, 324.72 KB
pptx, 324.72 KB
pdf, 320.67 KB
pdf, 320.67 KB
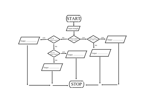
Three lessons which both teach the names and features of quadrilaterals and introduce students to the use of flow diagrams. Includes three powerpoint presentations, two worksheets and a "What am I?" bingo game.

Review

5

Something went wrong, please try again later.

SEBarnwell

11 years ago
5

This was fantastic in a maths lesson, both in getting the class to learn features of quadrilaterals but also in honing their 'sorting skills' and thinking logically (we went on to look at flow charts etc).<br /> A really good resource WELL worth having!

Report this resourceto let us know if it violates our terms and conditions.
Our customer service team will review your report and will be in touch.