ppt, 364 KB
ppt, 364 KB
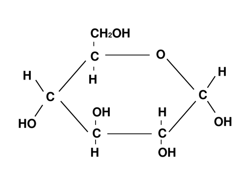
A PowerPoint that covers organic molecules. Includes animations of the condensation reaction. It has been devised for OCR AS Biology Unit 2, but should be usable with other exam boards as well.
Creative Commons "Attribution"

Reviews

4.4

Something went wrong, please try again later.

portmhlo

6 years ago
4

carolgs1

6 years ago
5

Thank you for sharing

takintola

8 years ago
5

Excellent crop of resource base with very relevant accompanying worksheets and worksheet answer. KUDOS to you for sharing

LittleBio

8 years ago
5

Clearly set out and easy to add/adapt to as you need. Thanks for sharing

Angelina79

8 years ago
4

A clearly set out presentation - thanks.

Report this resourceto let us know if it violates our terms and conditions.
Our customer service team will review your report and will be in touch.