
Suitable for SQA Higher Physics (or equivalent)
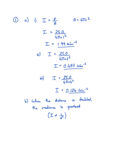
This resource contains questions based on irradiance and the inverse square law of light from a point source. Examples also include the Sun as a point source of light as a potential extension discussion to luminosity and apparent brightness for Advanced Higher.
Q5 is an exam-style question.
Solutions included in a separate document.
Something went wrong, please try again later.
This resource hasn't been reviewed yet
To ensure quality for our reviews, only customers who have downloaded this resource can review it
Report this resourceto let us know if it violates our terms and conditions.
Our customer service team will review your report and will be in touch.
£0.00