This resource contains all of the lessons for the first unit of AQA A-Level Biology - Biological Molecules.
Including:
1.1 Introduction to Biological Molecules
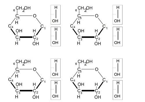
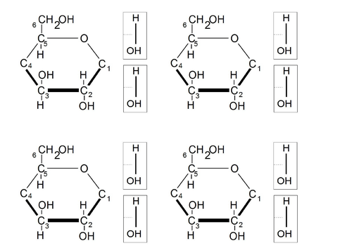
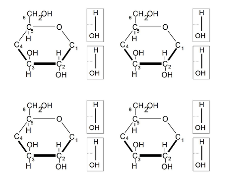
12 Carbohydrates & Monosaccharaides
1.3 Carbohydrates - Disaccharaides and Polysaccharides
1.4 Starch, Glycogen & Cellulose
1.5 Lipids
1.6 Proteins
1.7 Ezyme Action
1.8 Factors Affecting Enzyme Action
1.9 Enzyme Inhibition
Something went wrong, please try again later.
An excellent set of slides with great pictures and thinking points in the form of questions. The answers provided are very helpful thank you :)
Report this resourceto let us know if it violates our terms and conditions.
Our customer service team will review your report and will be in touch.
£23.50
