
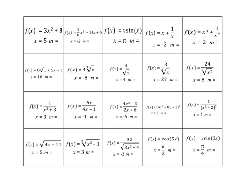
20 questions on finding the slope of a tangent line at a given value, x. A calculator is not required for this worksheet. All of the questions cover the 4 derivative rules (power, product, quotient, and chain).
Each question corresponds to a matching answer, students then cut out the answer and cover the question. When completed a piece of artwork is revealed.
The files are pdf so any mistakes feel free to edit.
Answers are given and a small question sheet which can be placed in books to show the original questions that were answered.
Something went wrong, please try again later.
This resource hasn't been reviewed yet
To ensure quality for our reviews, only customers who have downloaded this resource can review it
Report this resourceto let us know if it violates our terms and conditions.
Our customer service team will review your report and will be in touch.