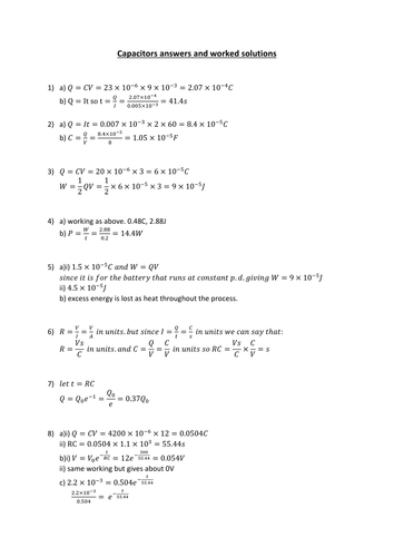
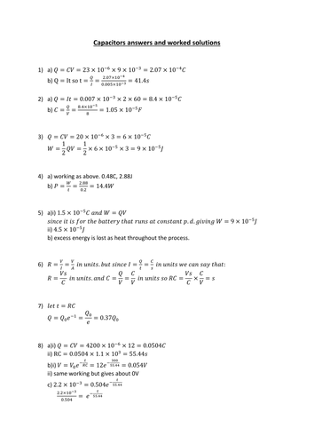
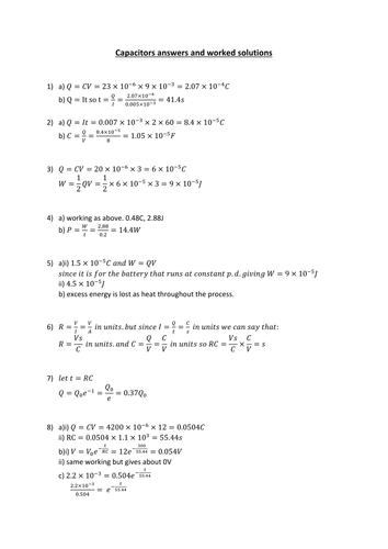
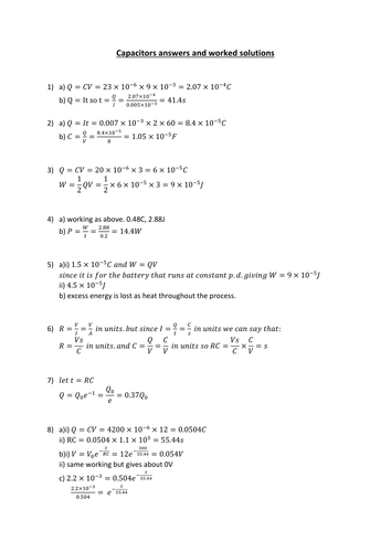
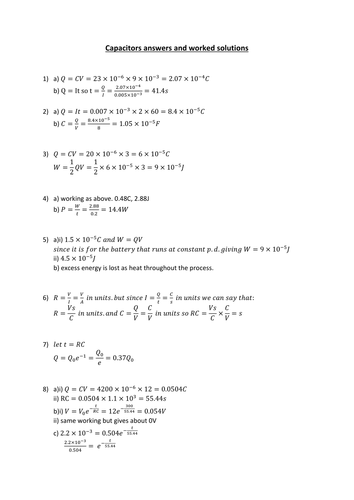
All the answers/ worked solutions to the A-level Physics Booklets. The set up for these varies, but they all have the answers to the numerical questions and where stated the worked solutions to at least one of each type. I reckon you could totally put this through the department budget (I know I do with bundles from other authors on the TES) and you get to save about 40% in the process!

Reviews

4.5

Something went wrong, please try again later.

SJBKJB

8 years ago
5

Bealesonwheels

8 years ago
4

Good resource but no answers to Uniform circular motion or Gravitational fields?

Report this resourceto let us know if it violates our terms and conditions.
Our customer service team will review your report and will be in touch.