Resources included (18)
Answers and worked solutions to the A-level Electric fields booklets (both options)
Answers to A-level Circular motion booklet
Answers to A-level Gravitational fields notes and question booklet.
Answers and Worked Solutions to A-level Turning points booklet
Answers and worked solutions to the A-level Induction Booklet
Answers and worked solutions to the A-level Magnetic Fields Booklet
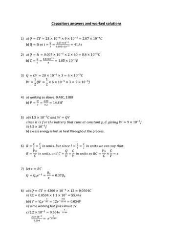
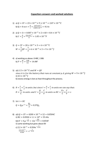
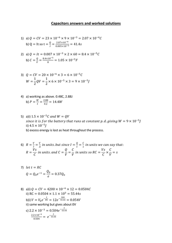
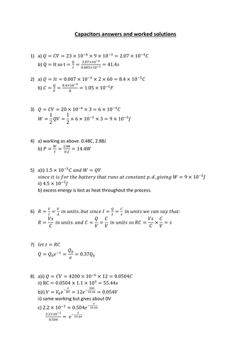
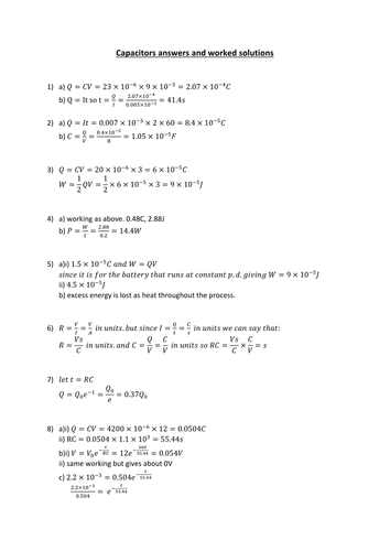
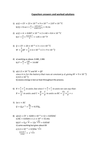
Answers and worked solutions to the A-level capacitors booklet
Answers and worked solutions to the A-level SHM Booklet
Answers to the A-level Electricity Booklet
Answers and worked solutions to the materials booklet.
Answers and worked solutions to the A-level moments booklet
Answers for the A-level mechanics booklet
Answers to the recently updated A-level Nuclear Booklet
Answers and worked solutions to the new updated thermal physics booklet
Answers and worked solutions to waves booklet
Answers and worked solutions for momentum booklet
Answers and worked solutions for Newton's laws of motion booklet
Answers and worked solutions to particle booklet
All the answers/ worked solutions to the A-level Physics Booklets. The set up for these varies, but they all have the answers to the numerical questions and where stated the worked solutions to at least one of each type. I reckon you could totally put this through the department budget (I know I do with bundles from other authors on the TES) and you get to save about 40% in the process!
Something went wrong, please try again later.
Good resource but no answers to Uniform circular motion or Gravitational fields?
Report this resourceto let us know if it violates our terms and conditions.
Our customer service team will review your report and will be in touch.
£25.00