
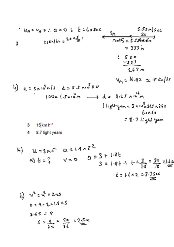
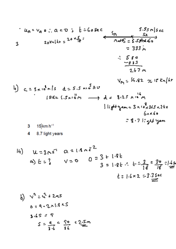
The resource includes tips and tricks to solve sums in projectile motion applying equations of motion.
IBDP physics theme A1. It covers Kinematics , equation of motion, projectile motion and motion graphs.
Complete resources for teachers and students.
Get this resource as part of a bundle and save up to 38%
A bundle is a package of resources grouped together to teach a particular topic, or a series of lessons, in one place.
Something went wrong, please try again later.
This resource hasn't been reviewed yet
To ensure quality for our reviews, only customers who have purchased this resource can review it
Report this resourceto let us know if it violates our terms and conditions.
Our customer service team will review your report and will be in touch.
£5.00