docx, 16.23 KB
docx, 16.23 KB
docx, 2.47 MB
docx, 2.47 MB
docx, 1.5 MB
docx, 1.5 MB
docx, 1.47 MB
docx, 1.47 MB
docx, 1.74 MB
docx, 1.74 MB
docx, 1.7 MB
docx, 1.7 MB
docx, 1.87 MB
docx, 1.87 MB
docx, 2.65 MB
docx, 2.65 MB
docx, 1.37 MB
docx, 1.37 MB
docx, 631.3 KB
docx, 631.3 KB
docx, 522.25 KB
docx, 522.25 KB
docx, 300.87 KB
docx, 300.87 KB
docx, 728.72 KB
docx, 728.72 KB
docx, 346.95 KB
docx, 346.95 KB
docx, 510.49 KB
docx, 510.49 KB
docx, 295.71 KB
docx, 295.71 KB
docx, 447.21 KB
docx, 447.21 KB

These resources support the 2016 specification for the Extended National Diploma in Health & Social Care - Unit 1: Human Lifespan Development.

They cover all command verbs:

  • which/identify
  • describe
  • outline
  • explain
  • discuss
  • evaluate
  • justify
  • to what extent

And a command verb glossary. (Students read the command verb worksheets and summarise the key points in the glossary to reinforce learning.)

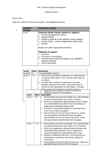
The information is taken from the Pearson revision guide and additional questions have been added from the Pearson workbook and past exam papers (Pearson) have been added, so students can apply their learning of the command verbs directly.

I have also provided the answers to all the questions.

Reviews

Something went wrong, please try again later.

This resource hasn't been reviewed yet

To ensure quality for our reviews, only customers who have purchased this resource can review it

Report this resourceto let us know if it violates our terms and conditions.
Our customer service team will review your report and will be in touch.