docx, 107.79 KB
docx, 107.79 KB
docx, 109.11 KB
docx, 109.11 KB
notebook, 368.25 KB
notebook, 368.25 KB
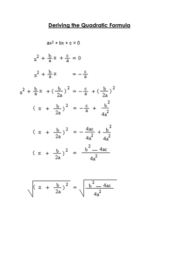
This is simply a lesson on deriving the quadratic formula. This is a activity for the students to cut up and place the proof in order. Cheers
Tes classic free licence

Review

4

Something went wrong, please try again later.

davidpwells

11 years ago
4

Brilliant. I was about to make this! Using this for inspection next week.<br /> Thanks

Report this resourceto let us know if it violates our terms and conditions.
Our customer service team will review your report and will be in touch.