doc, 128 KB
doc, 128 KB
ppt, 632 KB
ppt, 632 KB
doc, 123 KB
doc, 123 KB
xls, 31 KB
xls, 31 KB
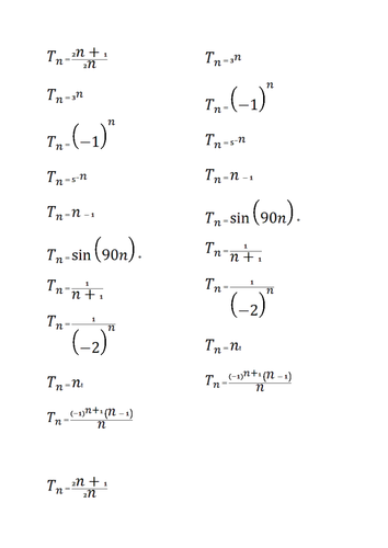
Sorting activity: are the sequences (given by nth term formula) convergent / divergent / oscillating? A PowerPoint with two-way table to sort into has a limit / has no limit (of course, some spaces should be blank. This is intentional: a point for discussion at the end. Ideal to be used on the IWB for KS4 students.
Creative Commons "Sharealike"

Reviews

2.7

Something went wrong, please try again later.

frickard

12 years ago
2

Dear Daithimcc, they are the main points I would draw out after they have finished the sorting activity. E.g. the fact that they cannot find anything to fit the "convergent, has no limit" box is designed to get them thinking why not.

daithimcc

12 years ago
2

Re Powerpoint A sequence diverges if it does not converge. A sequence oscillates if it diverges and does not tend to +infinity or to -infinity

DaveGale

14 years ago
4

A straight forward activity that will really help to engage students in learning about these types of sequences. Feels more appropriate for KS5.

Report this resourceto let us know if it violates our terms and conditions.
Our customer service team will review your report and will be in touch.