doc, 128 KB
doc, 128 KB
ppt, 632 KB
ppt, 632 KB
doc, 123 KB
doc, 123 KB
xls, 31 KB
xls, 31 KB
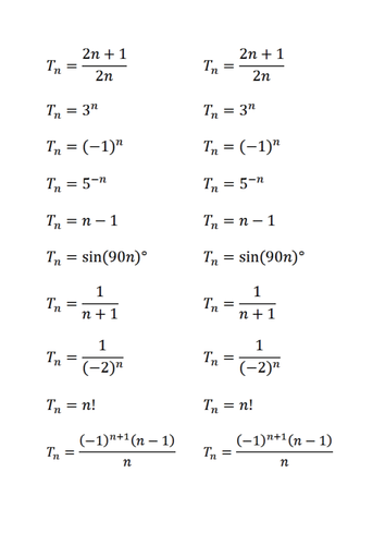
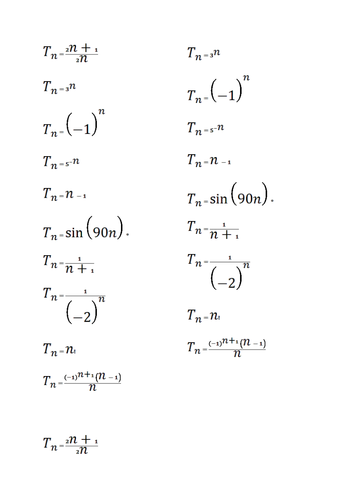
Sorting activity: are the sequences (given by nth term formula) convergent / divergent / oscillating? Two-way table to sort into has a limit / has no limit (of course, some spaces should be blank. This is intentional: a point for discussion at the end.
Creative Commons "Sharealike"

Reviews

Something went wrong, please try again later.

This resource hasn't been reviewed yet

To ensure quality for our reviews, only customers who have downloaded this resource can review it

Report this resourceto let us know if it violates our terms and conditions.
Our customer service team will review your report and will be in touch.