pdf, 174.29 KB
pdf, 174.29 KB

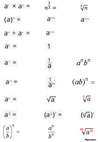
Engaging card matching activity that covers all the laws of indices and negative or fractional powers. This task is ideal for working in pairs or small groups.

If you find this resource useful, I will appreciate if you can leave your review on this website.

Creative Commons "Sharealike"

Reviews

Something went wrong, please try again later.

This resource hasn't been reviewed yet

To ensure quality for our reviews, only customers who have downloaded this resource can review it

Report this resourceto let us know if it violates our terms and conditions.
Our customer service team will review your report and will be in touch.