doc, 70.5 KB
doc, 70.5 KB
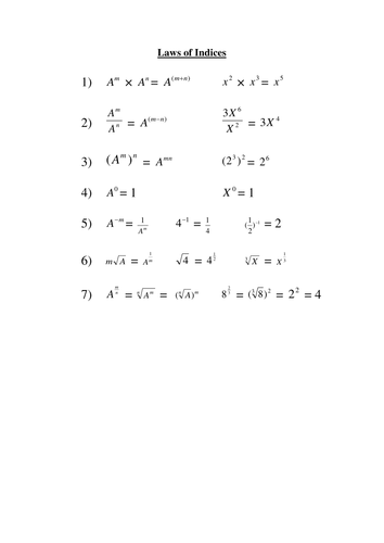
Rules and examples of indices that the students can follow for the Core 1 Exam
Creative Commons "Sharealike"

Review

4

Something went wrong, please try again later.

mwknowles

10 years ago
4

Report this resourceto let us know if it violates our terms and conditions.
Our customer service team will review your report and will be in touch.