

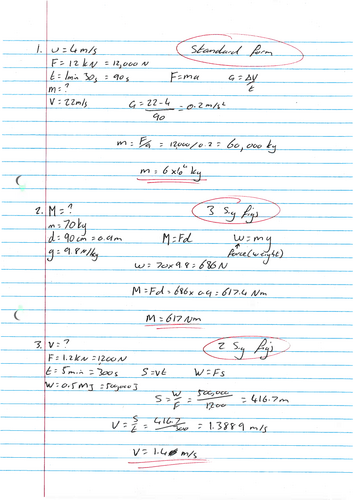
A collection of in-house developed multi-step calculation questions for the Forces topic, requiring the use of more than one equation for completion. Excellent for revision and exam question practice. These types of questions typically carry a weight of 5-6 marks in AQA exams, reflecting the complexity and comprehensive nature of the calculations involved. The majority of the questions should be relevant for Edexcel and OCR.
Handwritten answers are also provided.
Please note that some numbers used in the questions are unrealistic, intentionally included to provide students with practice in converting units.
Paper 1 - Worksheet 1 questions can be found here for FREE: https://www.tes.com/teaching-resource/-12988391
Get this resource as part of a bundle and save up to 33%
A bundle is a package of resources grouped together to teach a particular topic, or a series of lessons, in one place.
Multi-Step Calculations MEGA BUNDLE - Physics AQA GCSE
A collection of in-house developed multi-step calculation questions for the **Forces, Energy and Electricity topics** and **Paper 1 and 2**, requiring the use of more than one equation for completion. Excellent for revision and exam question practice. These types of questions typically carry a weight of 5-6 marks in AQA exams, reflecting the complexity and comprehensive nature of the calculations involved. The majority of the questions should be relevant for Edexcel and OCR. Handwritten answers are also provided. Please note that some numbers used in the questions are unrealistic, intentionally included to provide students with practice in converting units. **This bundle includes 7 worksheets and their hand written answers.** Download and try the Paper 1 - Worksheet 1 for FREE: https://www.tes.com/teaching-resource/aqa-gcse-physics-multi-step-calculations-6-marks-paper-1-12988391
Multi-Step Calculations Topic Bundle - Physics AQA GCSE
A collection of in-house developed multi-step calculation questions for the **Forces, Energy and Electricity topics**, requiring the use of more than one equation for completion. Excellent for revision and exam question practice. These types of questions typically carry a weight of 5-6 marks in AQA exams, reflecting the complexity and comprehensive nature of the calculations involved. The majority of the questions should be relevant for Edexcel and OCR. Handwritten answers are also provided. Please note that some numbers used in the questions are unrealistic, intentionally included to provide students with practice in converting units. **This bundle includes 3 worksheets and their hand written answers.** Download and try the Paper 1 - Worksheet 1 (from a different bundle) for FREE: https://www.tes.com/teaching-resource/aqa-gcse-physics-multi-step-calculations-6-marks-paper-1-12988391
Something went wrong, please try again later.
This resource hasn't been reviewed yet
To ensure quality for our reviews, only customers who have purchased this resource can review it
Report this resourceto let us know if it violates our terms and conditions.
Our customer service team will review your report and will be in touch.