pptx, 476.83 KB
pptx, 476.83 KB
pptx, 205.23 KB
pptx, 205.23 KB
pptx, 80.29 KB
pptx, 80.29 KB

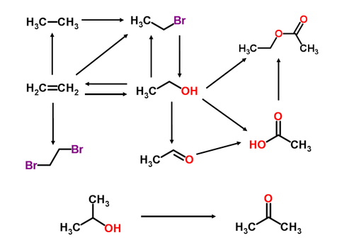
Lesson resources for the ‘Organic Synthesis’ unit (OCR Chemistry A) which includes:

  1. Organic synthesis techniques (reflux, distillation, liquid and organic separation)
  2. Organic synthetic routes

All PowerPoints start with a short quiz to help gauge understanding at the start and most tasks are differentiated by choice.

Creative Commons "Sharealike"

Reviews

4.5

Something went wrong, please try again later.

ebrinkley1

2 years ago
3

Good questions to work through but answers would be great!

chemgeek46

3 years ago
4

Really great but answers with the questions would be amazing!

favouredone1

3 years ago
5

Really useful. Thank you for making your resources free. I have used quite a few of them now.

aislingcorrigan007

3 years ago
5

Excellent

jonesedryd

5 years ago
5

Superb work. Thanks very much.

Report this resourceto let us know if it violates our terms and conditions.
Our customer service team will review your report and will be in touch.