pptx, 621.05 KB
pptx, 621.05 KB
pdf, 205.29 KB
pdf, 205.29 KB
docx, 224.01 KB
docx, 224.01 KB
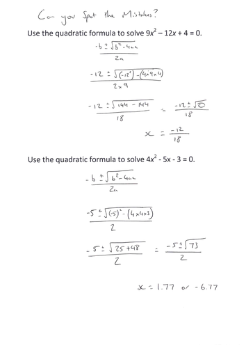
A complete lesson I taught on the quadratic formula.
Creative Commons "Sharealike"

Reviews

4.4

Something went wrong, please try again later.

seloff

6 years ago
5

thank you

sohealsimjee

6 years ago
5

Saood

7 years ago
5

crazy4maths

8 years ago
3

mrsmorgan1

8 years ago
4

A complete, well structured lesson on the quadratic formula along with a nice set of activities. I've added this to my resource libraries at resourceaholic.com. Thanks for sharing!

Report this resourceto let us know if it violates our terms and conditions.
Our customer service team will review your report and will be in touch.