doc, 31 KB
doc, 31 KB
doc, 113 KB
doc, 113 KB
ppt, 536.5 KB
ppt, 536.5 KB
jpeg, 572.37 KB
jpeg, 572.37 KB
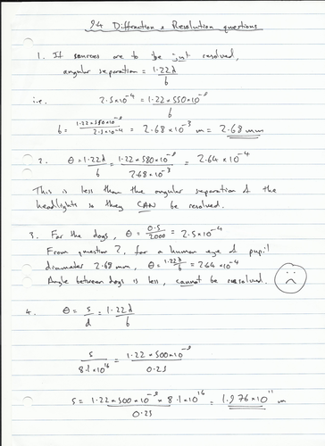
Written originally for IB, this can be used for A level too. Students are taken step by step through the Raleigh criteria and example problems. There is a practical activity and worksheet. Written (with humour) by a very experienced (26 years!) Physics teacher.

Reviews

Something went wrong, please try again later.

This resource hasn't been reviewed yet

To ensure quality for our reviews, only customers who have purchased this resource can review it

Report this resourceto let us know if it violates our terms and conditions.
Our customer service team will review your report and will be in touch.