docx, 12.44 KB
docx, 12.44 KB

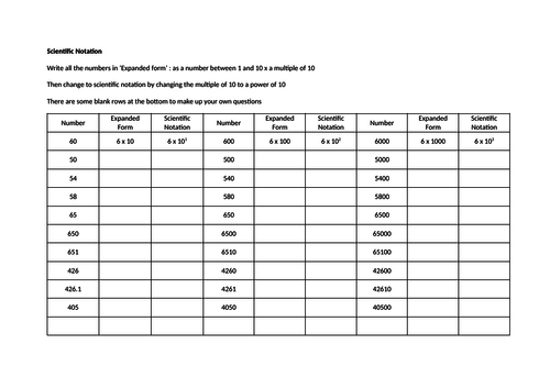
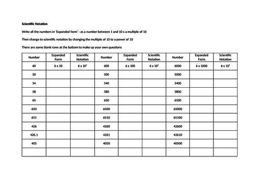
Practice Grid of scientific notation questions (positive powers only), turning into expanded form before moving to scientific notation. Employs variation theory both horizontally and vertically (in the initial stages) Found very useful to support pupils who were struggling.

Creative Commons "Sharealike"

Review

5

Something went wrong, please try again later.

becrobinson88

7 years ago
5

Very helpful basic practice. Thanks :-)

Report this resourceto let us know if it violates our terms and conditions.
Our customer service team will review your report and will be in touch.