pptx, 683.72 KB
pptx, 683.72 KB
pdf, 8.43 MB
pdf, 8.43 MB
pptx, 389.84 KB
pptx, 389.84 KB
pdf, 7.05 MB
pdf, 7.05 MB
pptx, 267.58 KB
pptx, 267.58 KB
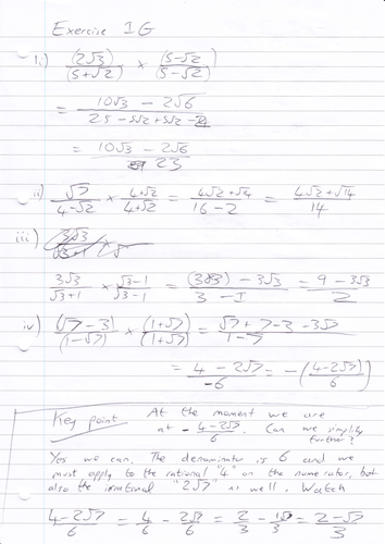
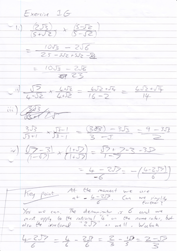
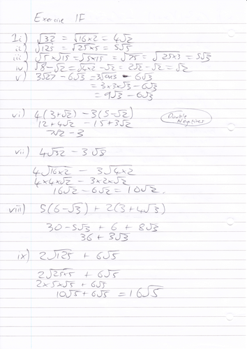
two worksheets on surds and ppt to scribble over. Based on further maths GCSE qualification that I done. With worked solutions as well for some students.
Tes classic free licence

Review

4

Something went wrong, please try again later.

drabah27

10 years ago
4

Report this resourceto let us know if it violates our terms and conditions.
Our customer service team will review your report and will be in touch.