pdf, 283.06 KB
pdf, 283.06 KB
pptx, 1.41 MB
pptx, 1.41 MB
pdf, 43.86 MB
pdf, 43.86 MB
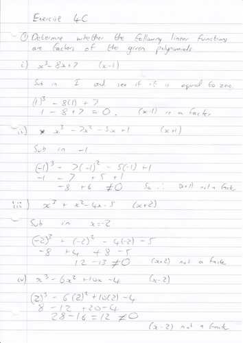
Resource on the Factor Theorem with worksheet and ppt. Some bits are a bit abstract as I designed them myself.

I used this with my GCSE AQA Further Maths class.
Creative Commons "Sharealike"

Reviews

4.7

Something went wrong, please try again later.

MrUnlusan

3 years ago
4

Great thank you. 3x^2 ... factorisation is wrong by the way.

jingbham

4 years ago
5

Really good introduction of factor theorem. Thanks for sharing.

rudimanteghi

5 years ago
5

Thank you

tomqiuyu

6 years ago
5

The exercises are great. The PPT has some awesome pictures. Thank you for sharing this.

pbrewer

6 years ago
5

A great exercise and thank you for the worked solutions also!

Report this resourceto let us know if it violates our terms and conditions.
Our customer service team will review your report and will be in touch.