Graphs of circles
Lesson presentations and activities
I used this for my year top set 10 group who needed to be able to recognise equations of circles, identify co-ordinates on a circle, and the radius of the circle. It was an investigation I found on tes (thank you to misslv) which I adapted! This is a discovery task and found it worked brilliantly for my group by the end of the lesson all were able to identify equations of circles, and give equations with a given radius. Some could even give different equations with the same radius but different centre, and recognised what the centre would be. There are follow up questions to deepen and check understanding. The only thing that is not here is the giant A3 axes that I created and photocopied of thr groups, I just used A3 paper and drew some -10 to 10 axes (one for each set of circle equations).
If you download please leave me a review! Thanks.Reviews
MathsBelongsToAll5 years ago
p_maths16 years ago
pdickson8 years ago
A lesson on the equation of a circle centred at (0,0).
From initial discovery to solving, graphically, simultaneous equations with a circle and a straight line.
Included are:
Starter - Tacking misconceptions around substitution with negatives and squared terms
Exploration - testing out coordinates and discovering the link with Pythagoras' Theorem
Examples - models for pupils from basic drawing to finding solutions to simultaneous equations
Worksheet - solutions provided with problem solving elements and key intervention points addressed
Extension plenary/ summary - links to inequality regions, area and solution in terms of pi
Homework - pupils to master understanding by demonstrating a "no solutions case"Reviews
wez884 years ago
thank you so much
ajokemoni264 years ago
Many thanks for sharing. very useful resources.
oluwamodupe5 years ago
Practice questions, homeworks and assessments
Equation of a circle centre (0, 0) for the new GCSE, includes finding equations of tangent.
Reviews
hankboot2u6 months ago
Thank you for sharing. Just what I was looking for.
Newbie012 years ago
Well scaffolded for the middle set year 11.
kbibi934 years ago
Thank you.
Starts easy and gets harder but essentially does what it says on the tin. A challenge for GCSE, a starter for A Level. There may be more hence the "1".
Reviews
badger55158 years ago
TES Resource Team8 years ago
Thank you for publishing your resource. It has been selected to be featured in a new secondary maths collection.
jenrjw8 years ago
Love these! Thanks
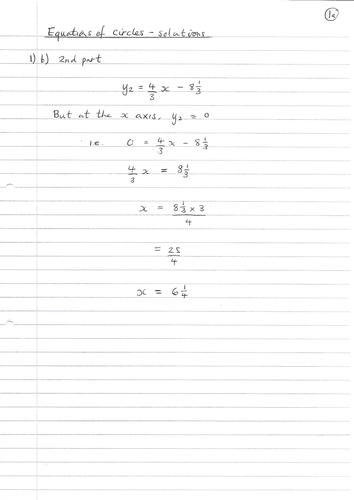
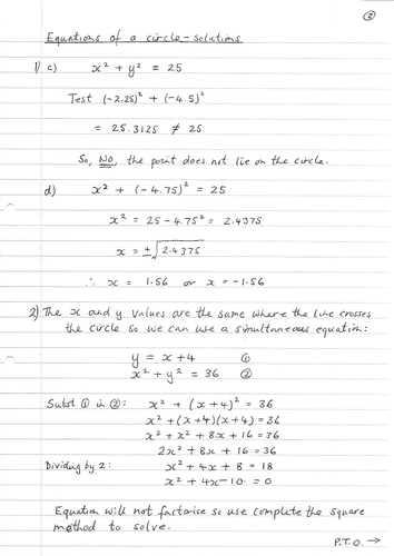
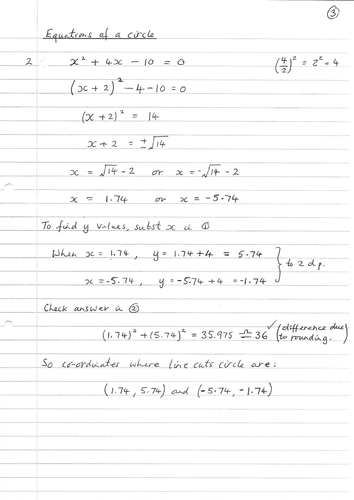
Updated 4/3/2017 - typo errors corrected on page 1 of solutions, part b. Updated 8/3/2017 - extra exercise added to question 1) b); solution on page 1a.
This worksheet has two problems involving circles centred on the origin. The first problem requires the equation of a tangent line to be deduced. The second problem requires a set of simultaneous equations to be set up to find the x and y co-ordinates where the line cuts the circle. When combined these form a quadratic equation. The equation will not factorise, so completing the square method or the Quadratic Formula must be used to solve it. DOCX and PDF worksheets supplied along with 3-page written solution in JPG format.Reviews
nazish_khaalid6 years ago
shaziamumof416 years ago
Great resource
londonteachsec7 years ago
Designed for the new GCSE specification, this worksheet allows students to practise sketching circles and finding equations of tangents.
Reviews
ml5675805a year ago
Brilliant! and so well laid out. Many thanks
misshbhudia2 years ago
Thank you for a great resource
jhug672 years ago
Excellent resource, thank you.





























