ALL edexcel USA notes
Resource Bundle

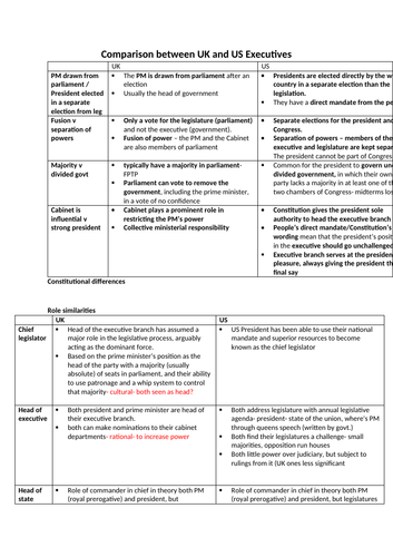
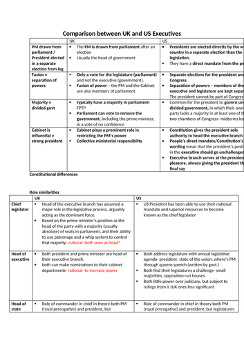
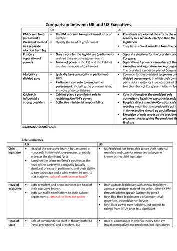
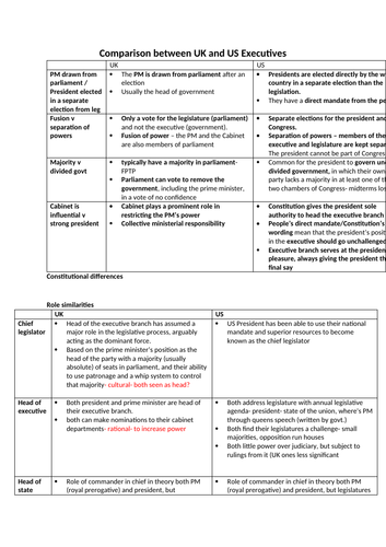
All the revision notes you need in order to succeed in your politics paper 3 exam. These notes are condensed in comparison to the textbook making revision much quicker and easier. With these notes I achieved an A* throughout the year and I hope these notes will adequately aid your revision.
Something went wrong, please try again later.
This resource hasn't been reviewed yet
To ensure quality for our reviews, only customers who have purchased this resource can review it
Report this resourceto let us know if it violates our terms and conditions.
Our customer service team will review your report and will be in touch.