pptx, 10.42 MB
pptx, 10.42 MB
pptx, 10.32 MB
pptx, 10.32 MB
docx, 2.19 MB
docx, 2.19 MB

Y8 Coasts
1-2hr each design
Low Ability PPT included (except lesson 5, 8 and 13) because these are optional/ additional lessons. These lessons can be used for average and higher ability students, or self-adapted to lower ability.

  1. Waves (destructive and constructive)
  2. Weathering and erosion (biological, chemical, physical)
  3. Geology of the UK (igneous, metamorphic, sedimentary)
  4. Headlands and Bays
  5. Wave cut platform (no low ability)
  6. Caves, arches, stacks, and stumps
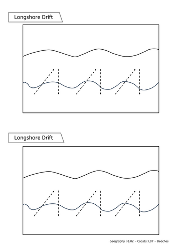
  7. Beaches
  8. Spits (no low ability)
  9. Managing coastal erosion
  10. Coastal erosion in Happisburg
  11. DME coastal erosion in Happisburg
  12. Other threats to coastal areas
  13. Local area coastal threats case study (no low ability) – there are 20 case studies to choose from to suit your local area – adapt the PPT by copying and pasting. Current PPT is set to Blackpool. This lesson can easily be much longer.
  14. Pre and Post Tests, knowledge organiser, teacher’s subject knowledge

Get this resource as part of a bundle and save up to 14%

A bundle is a package of resources grouped together to teach a particular topic, or a series of lessons, in one place.

Bundle

Y8 Coasts

Y8 Coasts 1-2hr each design Low Ability PPT included (except lesson 5, 8 and 13) because these are optional/ additional lessons. These lessons can be used for average and higher ability students, or self-adapted to lower ability. 1. Waves (destructive and constructive) 2. Weathering and erosion (biological, chemical, physical) 3. Geology of the UK (igneous, metamorphic, sedimentary) 4. Headlands and Bays 5. Wave cut platform (no low ability) 6. Caves, arches, stacks, and stumps 7. Beaches (longshore drift) 8. Spits (no low ability) 9. Managing coastal erosion 10. Coastal erosion in Happisburg 11. DME coastal erosion in Happisburg 12. Other threats to coastal areas 13. Local area coastal threats case study (no low ability) – there are 20 case studies to choose from to suit your local area – adapt the PPT by copying and pasting. Current PPT is set to Blackpool. This lesson can easily be much longer. 14. Pre and Post Tests, knowledge organiser, question bank, teacher’s subject knowledge For 13: Choose from: * North East England: Holderness Coast – East Yorkshire/ Whitby – North Yorkshire * North West England: Morecambe Bay – Lancashire/ Blackpool – Lancashire * South West England: West Bay - Dorset/ Lyme Regis - Dorset/ Poole Harbour - Dorset/ Newquay - Cornwall/ Bournemouth - Dorset/ Plymouth - Devon * South East England: Isle of Sheppey - Kent/ Chichester Harbour - West Sussex/ Medmerry – West Sussex/ Fairlight and Pett Level – East Sussex/ Southampton - Hampshire * East England: Happisburgh – Norfolk/ Lowestoft – Suffolk/ The Wash – Norfolk/Lincolnshire * Closest to London: Southend-on-Sea / Clacton-on-Sea/ Whitstable/ Sheerness

£60.00

Reviews

Something went wrong, please try again later.

This resource hasn't been reviewed yet

To ensure quality for our reviews, only customers who have purchased this resource can review it

Report this resourceto let us know if it violates our terms and conditions.
Our customer service team will review your report and will be in touch.