
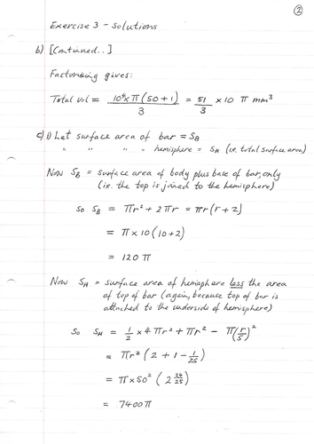
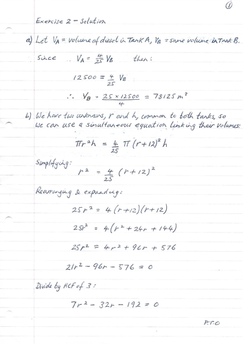
This worksheet is aimed at students capable of attaining levels 6, 7, 8 or 9 of the new maths specification. This is a high-quality resource but priced low to encourage sales. I'm not bothered so much about the money, I just want people to use it and evaluate it. Worksheet consists of three longer, challenging exam-style exercises based on practical applications, using formulae for cylinders and spheres. The last sheet lists the formulae students will need to use. Diagrams are used to illustrate all three exercises. Each exercise has multiple parts. The 1st exercise requires additional skills with ratios; the 2nd requires skills in both simultaneous and quadratic equations (this is hinted at in the question by saying 'Using an algebraic method..'); and the 3rd requires skill in creating an equation that links the volumes of a cylinder and a hemisphere. In the latter, calculation of the surface area of the machine part (see cover image) is more complex than normal, though entirely logical. This is a Level 8 or 9 type of exercise, but is not too difficult as long as a methodical approach is taken. This exercise also includes using density and volume to calculate a mass of zinc needed to galvanise a production run of the machine part. There are also various measurement conversions required such as converting cubic millimetres to cubic centimetres and litres, and grams to kilograms.
DOCX and PDF worksheets supplied along with 9 pages of fully-worked model answers in JPEG format.
DOCX and PDF worksheets supplied along with 9 pages of fully-worked model answers in JPEG format.
Something went wrong, please try again later.
This resource hasn't been reviewed yet
To ensure quality for our reviews, only customers who have purchased this resource can review it
Report this resourceto let us know if it violates our terms and conditions.
Our customer service team will review your report and will be in touch.
£2.00