
This lesson is perfect for Year 2! The lesson starts with children practicing adding coins together. It then shows two jars with the same amount but using different coins (National Curriculum objective).
For the ‘Can You Make:’ slide there is many coins which you can drag on the IWB/ computer. This part is interactive so that children can then have a go at making the amount written on the board in pairs with pretend coins.
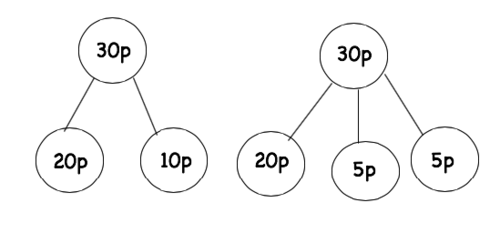
There is an editable section for partitioning. I used this to show how we can make the same amount using different coins.
There is also a word problem for greater depth.
Includes differentiated worksheets. Coin printouts if your school doesn’t have coin resources.
Coin Print Out and labelled strip from twinkl.
Enjoy, I hope you like my resource.
Something went wrong, please try again later.
This resource hasn't been reviewed yet
To ensure quality for our reviews, only customers who have purchased this resource can review it
Report this resourceto let us know if it violates our terms and conditions.
Our customer service team will review your report and will be in touch.