pdf, 142.33 KB
pdf, 142.33 KB
pdf, 801.25 KB
pdf, 801.25 KB

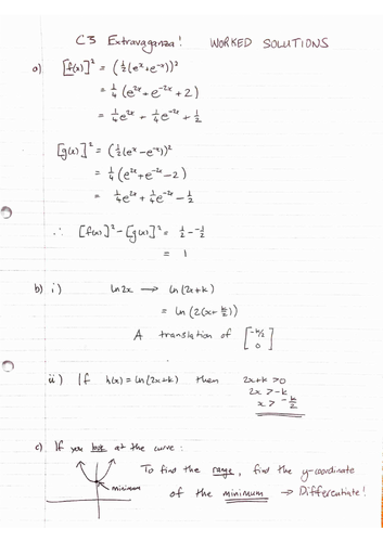
AQA Core 3 Exam style questions. A revision resource, with some challenging aspects that covers the topics; functions, domain, range, composite functions, inverse functions, exponentials, logs, differentiation, integration by substitution and integration by parts. Worked solutions also attached.

Reviews

Something went wrong, please try again later.

This resource hasn't been reviewed yet

To ensure quality for our reviews, only customers who have purchased this resource can review it

Report this resourceto let us know if it violates our terms and conditions.
Our customer service team will review your report and will be in touch.