pptx, 44.01 KB
pptx, 44.01 KB
pptx, 5.44 MB
pptx, 5.44 MB
notebook, 395.89 KB
notebook, 395.89 KB
pptx, 203.92 KB
pptx, 203.92 KB
pptx, 118.74 KB
pptx, 118.74 KB

This resource consists of a short lesson plus two full lessons. Between the three lessons, all the types of harder questions involving indices are covered. For each lesson, there is a presentation and worksheet. The presentations include starters, examples and worked solutions to the questions on the worksheets.

‘Writing number as power of another’ covers two types of questions: (a) writing one number as a power of another and (b) finding the base which when raised to a given index equals a given value.

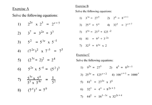
‘Solving Equations by Equating Indices’ looks at questions where the unknown is part of the indices. The lesson is structured to cover (a) equations where all the bases arrre the same, (b) the bases are all integer powers of one of them and © where the bases are not integer powers of any of them.

‘Simultaneous Equations with Powers’ looks at questions where (a) the two unknowns are in the indices of the two simultaneous equations and (b) the two unknown are the bases.

Reviews

Something went wrong, please try again later.

This resource hasn't been reviewed yet

To ensure quality for our reviews, only customers who have purchased this resource can review it

Report this resourceto let us know if it violates our terms and conditions.
Our customer service team will review your report and will be in touch.