pptx, 1.08 MB
pptx, 1.08 MB
doc, 1.05 MB
doc, 1.05 MB
doc, 1022 KB
doc, 1022 KB
docx, 18.79 KB
docx, 18.79 KB
docx, 83.21 KB
docx, 83.21 KB
docx, 220.55 KB
docx, 220.55 KB

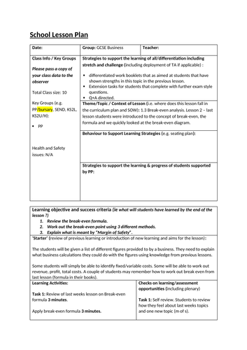
This lesson has differentiated work-booklets. It was created as part as on observation for the GCSE Edexcel 1-9 Business Studies course 1.3.2 Break-even.

The lesson comes with teacher presentation, lesson plan, work-booklets and extension work.

Reviews

Something went wrong, please try again later.

This resource hasn't been reviewed yet

To ensure quality for our reviews, only customers who have purchased this resource can review it

Report this resourceto let us know if it violates our terms and conditions.
Our customer service team will review your report and will be in touch.