doc, 64.5 KB
doc, 64.5 KB
doc, 22 KB
doc, 22 KB
doc, 63.5 KB
doc, 63.5 KB
doc, 184.5 KB
doc, 184.5 KB
doc, 124.5 KB
doc, 124.5 KB
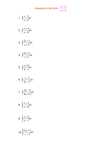
Integration by algebraic division, integration revision
Creative Commons "Sharealike"

Review

5

Something went wrong, please try again later.

haydar01

12 years ago
5

Report this resourceto let us know if it violates our terms and conditions.
Our customer service team will review your report and will be in touch.