docx, 460.26 KB
docx, 460.26 KB
docx, 460.19 KB
docx, 460.19 KB
docx, 16.72 KB
docx, 16.72 KB
docx, 231.69 KB
docx, 231.69 KB
docx, 460.06 KB
docx, 460.06 KB

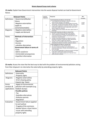
Set of 5 adapted mark schemes for Economics A level to suit the new specification. Mark schemes are simplified so easy to mark and for students to use. Essay topics include: Business growth, Labour markets, Externalities, Monopoly and Privatisation.

Reviews

Something went wrong, please try again later.

This resource hasn't been reviewed yet

To ensure quality for our reviews, only customers who have purchased this resource can review it

Report this resourceto let us know if it violates our terms and conditions.
Our customer service team will review your report and will be in touch.