
This is a series of questions aimed at making pupils more comfortable with dealing with formulas with fractions in them.
I made this worksheet in response to a very bright class who had no problems with most formula but struggled rearranging fractions.
Full solutions included.
Edit: added powerpoint of extra questions
Edit: added some textbook change the subject questions with answers
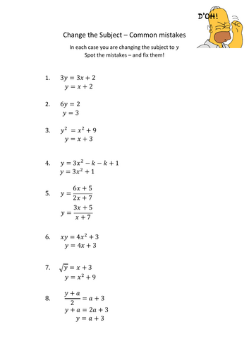
Edit: added common mistakes
Something went wrong, please try again later.
This resource hasn't been reviewed yet
To ensure quality for our reviews, only customers who have purchased this resource can review it
Report this resourceto let us know if it violates our terms and conditions.
Our customer service team will review your report and will be in touch.
$1.50