
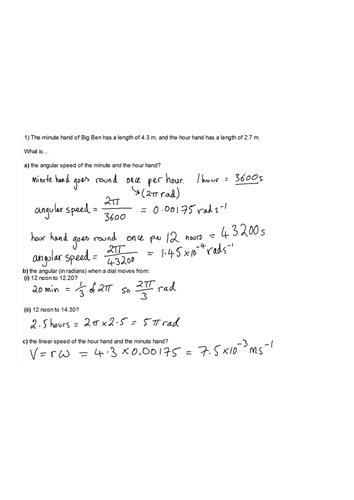
Suitable for A Level/IB Physics. 3 questions on circular motion and centripetal acceleration/force, with worked solutions.
Get this resource as part of a bundle and save up to 62%
A bundle is a package of resources grouped together to teach a particular topic, or a series of lessons, in one place.
Something went wrong, please try again later.
Not a bad resource but a bit lacking in content. The worked solutions are nice - except that the author has used diameter rather than radius to calculate the revolutions per hour required of the space station in question 3, resulting in an incorrect answer!
Report this resourceto let us know if it violates our terms and conditions.
Our customer service team will review your report and will be in touch.
£3.00