
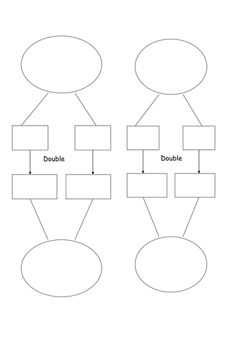
This resources focuses on doubling 2 and 3 digit numbers. I have provided the context of cooking; a real life activity in which this process could be important. The SMART provides a method of working out doubles via partitioning HTU and adding them back together in more manageable chunks. I have attached two proforma for the method. If children are using this resource multiple times, I recommend laminating it to use for years to come! It is a very visual way of working out doubles. I recommend for Year 3/4. The resource is differentiated 3 ways with all questions displayed on SMART to avoid printing costs.
Something went wrong, please try again later.
This resource hasn't been reviewed yet
To ensure quality for our reviews, only customers who have purchased this resource can review it
Report this resourceto let us know if it violates our terms and conditions.
Our customer service team will review your report and will be in touch.
£3.00