Resources included (11)
AQA GCSE Chemistry Periodic Table Revision Summary Sheet (with answers)
Chemical Analysis Revision Summary Sheet
Earth's Resources Revision Summary Sheet (with answers)
Paper 2 Chemistry (Trilogy) Revision Sheet with Answers
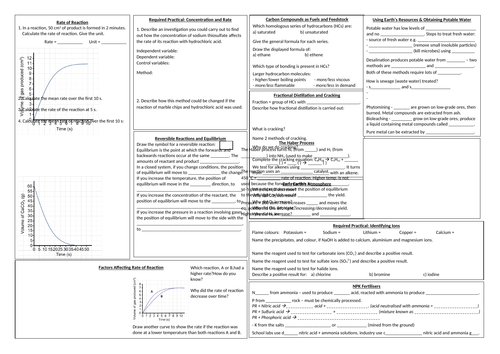
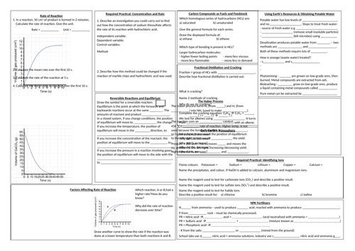
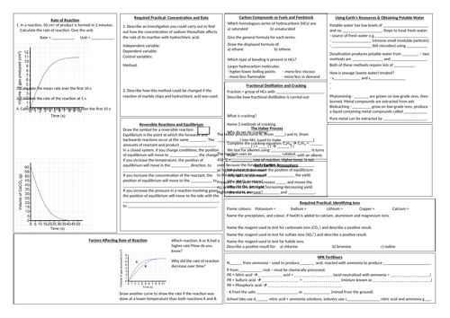
Paper 2 Chemistry Revision Sheet (with answers)
'Acids and their Reactions' Revision Sheet + answers (Chemical Changes)
Earth's Atmosphere A3 Revision Summary Sheet with Answers
Structure & Bonding A3 Revision Summary Sheet/Mat
C9 Crude Oil & Fuels Revision Summary Sheet
Electrolysis (C6) Revision Summary Sheet/Mat
C5 Chemical Changes Revision Summary Sheet/Mat with Answers
Revision summary sheets for AQA GCSE Chemistry/Trilogy topics - new style have answers, I have also included my older revision sheets in case these are useful but they do not have answers.
New style (A3 with answers)
Paper 1
Periodic Table
Structure and Bonding
Acids and their reactions (part of chemical changes)
Paper 2
Chemical Analysis
Earth’s Atmosphere
Earth’s Resources
General Paper 2 (based on advance info 2022) Separate Chemistry
General Paper 2 (based on advance info 2022) Trilogy Chemistry
Old style:
C5 Chemical Changes - no answers
C9 Crude Oil & Fuels - no answers
C6 Electrolysis - no answers
Something went wrong, please try again later.
This resource hasn't been reviewed yet
To ensure quality for our reviews, only customers who have purchased this resource can review it
Report this resourceto let us know if it violates our terms and conditions.
Our customer service team will review your report and will be in touch.
