
This is a full scheme of work suitable for LKS3. I created it alongside the Royal Geographical Society’s unit of study. I have used it with Year 8 as an Autumn term unit but it could be used with other year groups at other points during the year. It meets the National Curriculum requirements for study and includes lots of practical and interactive activities to engage the children and reignite their love for the subject. The unit consists of 12 hour-long lessons.
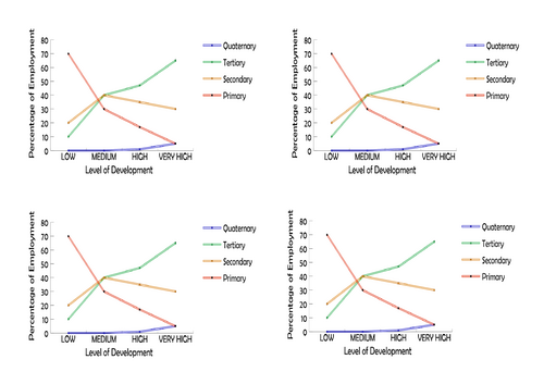
Overview of subject coverage: This unit introduces pupils to the concept of globalisation and explores how our world is increasingly interconnected through trade, communication, migration and culture. Pupils will investigate the causes and consequences of globalisation, its impact on people and places, and the role of the UK in a globalised world. The unit will begin with pupils exploring the different employment sectors in the UK and consider whether globalisation and development are linked. Pupils will learn what a transnational corporation is, how they operate worldwide and conduct a case study into sweatshops and where our clothes come from. Pupils will then learn about the global impact of tourism, including ecotourism. Pupils will examine how the COVID pandemic influenced globalisation and the potential impacts of globalisation in the future.
The download includes:
Detailed planning document
Grid giving an overview of how the unit meets National Curriculum requirements
Well presented and informative PPT slides for each lesson
All the resources needed to deliver each lesson
A topic title page with coverage overview
An optional lesson for an end of unit Dragon’s Den style assessment opportunity
Something went wrong, please try again later.
This resource hasn't been reviewed yet
To ensure quality for our reviews, only customers who have purchased this resource can review it
Report this resourceto let us know if it violates our terms and conditions.
Our customer service team will review your report and will be in touch.