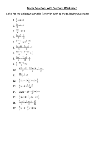
This unique and animated PowerPoint presentation accompanied by a 17 question worksheet and PowerPoint solutions is all you need to for students to progress further into the concept of solving linear equations. This is the seventh and final Powerpoint on Linear Equations which follows on from Solving Linear Equations 1, 2, 3, Linear Equations with more than one operation, Linear Equations with one variable (letter) on either side of the equals sign and Linear Equations with brackets. This resource focuses solely on how to solve linear equations that have fractions in them. Students get ample amount of practice with the worksheet with 17 questions included. This resource is so teacher friendly also as the worksheet has animated PowerPoint presentation solutions which allows the teacher to circle the classroom while correcting the homework. This resource allows students to practice some of the hardest linear equations that they can be asked in an exam situation. This resource has been extremely successful for me when teaching this topic and I believe it can be extremely useful to every teacher as it is so accessible and so easily understandable by the student.
Get this resource as part of a bundle and save up to 24%
A bundle is a package of resources grouped together to teach a particular topic, or a series of lessons, in one place.
Something went wrong, please try again later.
This resource hasn't been reviewed yet
To ensure quality for our reviews, only customers who have purchased this resource can review it
Report this resourceto let us know if it violates our terms and conditions.
Our customer service team will review your report and will be in touch.