pdf, 4.48 MB
pdf, 4.48 MB
pdf, 4.2 MB
pdf, 4.2 MB
pdf, 4.6 MB
pdf, 4.6 MB

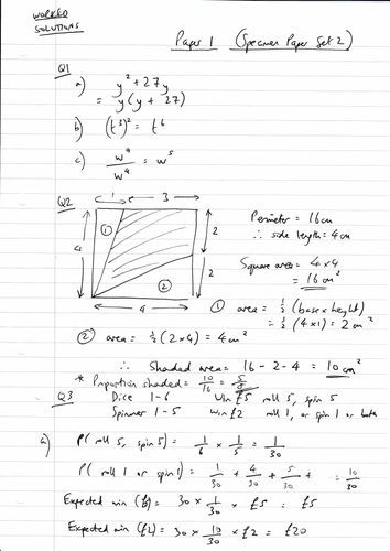
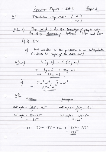
Worked solutions for Paper 1H, 2H and 3H (for the new Edexcel Maths GCSE specification, first examined 2017, Set 2).

Completed on separate A4 paper; helpful as a resource for students who have already completed a paper in addition to looking at the mark scheme.

Put together by a full-time Maths and Science Tutor (GCSE and A-level Maths and Sciences).

Reviews

Something went wrong, please try again later.

This resource hasn't been reviewed yet

To ensure quality for our reviews, only customers who have purchased this resource can review it

Report this resourceto let us know if it violates our terms and conditions.
Our customer service team will review your report and will be in touch.