pdf, 414.72 KB
pdf, 414.72 KB
pdf, 409.16 KB
pdf, 409.16 KB
pdf, 417.97 KB
pdf, 417.97 KB
pdf, 399.94 KB
pdf, 399.94 KB
pdf, 330.38 KB
pdf, 330.38 KB
pdf, 465.33 KB
pdf, 465.33 KB

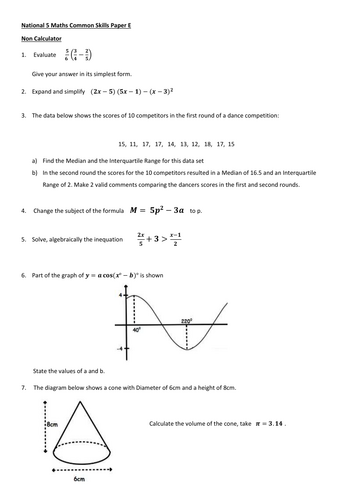
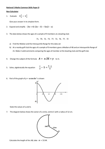
Six National 5 Mathematics Common Skills Papers. Each contains a Non-Calculator (16 questions) and Calculator (16 questions) section along with answers.
Topics covered include Fractions, Percentages, Algebraic Operations, Algebraic Fractions, Arcs and Sectors; Surds, Indices, Volume, Functions; Equations and Inequalities, Straight Line, Quartiles- and Boxplots, Standard Deviation; Line of Best Fit, Changing the Subject of a Formula, Angle Properties, Trig Graphs, Trig Equations, Simultaneous Equations, Vectors, Pythagoras, Triangle Trigonometry and Similar Shapes.

These papers provide pupils with the opportunity to practice the skills which commonly appear in the National 5 Maths exam and are ideal for pupils who are beginning to revise for the final exam. I have used these papers at supported study and Easter school sessions, as revision for mock exams and to boost the confidence of pupils prior to attempting SQA past papers.

Review

5

Something went wrong, please try again later.

emmaesteven

a year ago
5

A valuable resource that assesses key skills repeatedly. The 6 papers are great and full of key questions. This has definitely been of use to the pupils in my class.

Report this resourceto let us know if it violates our terms and conditions.
Our customer service team will review your report and will be in touch.