docx, 28.04 KB
docx, 28.04 KB

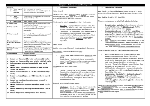
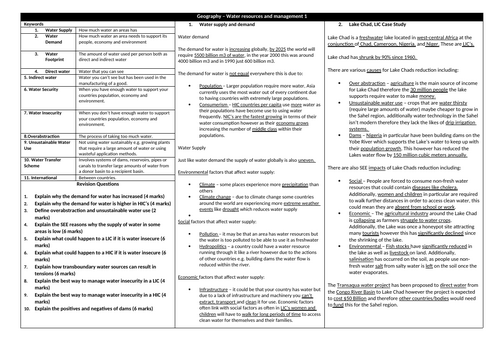
Water section of Eduqas B GCSE geography knowledge organiser. Includes Key Terms with definitions and practice questions. Includes Lake Chad for LIC case study, The Murray Darling Basin for HIC case study and the Colorado for international water source case study.

Get this resource as part of a bundle and save up to 50%

A bundle is a package of resources grouped together to teach a particular topic, or a series of lessons, in one place.

Reviews

Something went wrong, please try again later.

This resource hasn't been reviewed yet

To ensure quality for our reviews, only customers who have purchased this resource can review it

Report this resourceto let us know if it violates our terms and conditions.
Our customer service team will review your report and will be in touch.