docx, 22.95 KB
docx, 22.95 KB
pptx, 1.37 MB
pptx, 1.37 MB
pdf, 12.48 KB
pdf, 12.48 KB

Simplifying Expressions that are a combination of number and letter terms multiplied together. Simple, step by step explanation and differentiated worksheet with answers.

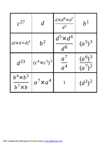
Includes a pdf of a tarsia pzzle to recall basic laws of indices

Odd one out and GCSE Q Plenary

Reviews

Something went wrong, please try again later.

This resource hasn't been reviewed yet

To ensure quality for our reviews, only customers who have purchased this resource can review it

Report this resourceto let us know if it violates our terms and conditions.
Our customer service team will review your report and will be in touch.