
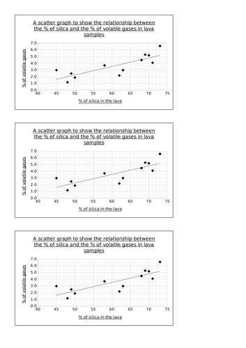
A step-by-step lesson to introduce Spearman’s Rank. This lesson is designed whilst teaching A-level hazards (volcanoes in particular) and has been used for both the AQA and Edexcel exam board in lesson to help answer exam questions (6 mark in AQA and 4 mark in Edexcel).
Students begin analysing a scatter graph, before understanding the purpose of Spearman’s Rank, they are encouraged to design an alternative and null hypothesis before going through every stage of the ranking process and entering data into the formula. At the end, students are to review their hypotheses before progressing to significant levels.
All answers are included on the PP and animated to appear step-by-step to support students who have not come across Spearman’s Rank before.
This resource may also help students who are considering integrating Spearman’s Rank into their NEA.
Get this resource as part of a bundle and save up to 25%
A bundle is a package of resources grouped together to teach a particular topic, or a series of lessons, in one place.
Something went wrong, please try again later.
This resource hasn't been reviewed yet
To ensure quality for our reviews, only customers who have purchased this resource can review it
Report this resourceto let us know if it violates our terms and conditions.
Our customer service team will review your report and will be in touch.