
AQA A2 Level Unit 4 Section 19 Equilibria-Catalysts, Chemical equilibria, Le Chatelier’s principle and Kp
Using the specification and books
No exam questions are included due to copy right
Including:
Homework booklets
Assessment sheets
Interactive powerpoints (rarely seen in A-level)
RSC STARTER FOR 10 CAN BE FOUND ON RSC WEBSITE
Unit 4 Section 19: 3.1.10 Equilibrium constant Kp for homogeneous systems
3.1.10 Equilibrium constant Kp for homogeneous systems
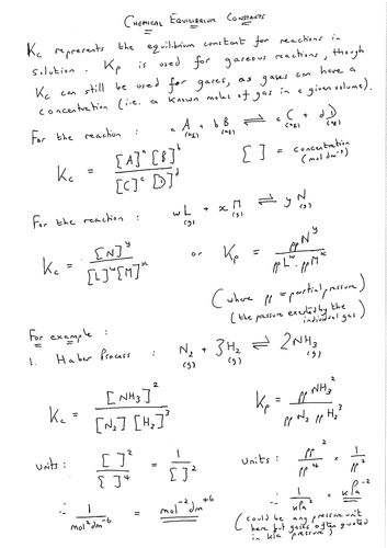
The further study of equilibria considers how the mathematical expression for the equilibrium constant Kp enables us to calculate how an equilibrium yield will be influenced by the partial pressures of reactants and products. This has important consequences for many industrial processes.
Prior knowledge:
AS Chemistry
- 3.1.6 – Chemical equilibria, Le Châtelier’s principle and Kc (see previous lesson package) https://www.tes.com/teaching-resource/aqa-as-level-unit-1-section-6-equilibria-chemical-equilibria-le-chatelier-s-principle-and-kc-12099340
LESSON 1: Recap
Objectives:
To recall the equilibrium constant Kc
To calculate Kc
To consolidate learning by completing exam questions
LESSON 2: Introduction to partial pressures
Objectives:
To state what is meant by partial pressure
To apply the equilibrium law to gaseous equilibria
To consolidate learning with questions
LESSON 3 + 4: Rate equations Kp
Objectives:
To calculate mole fraction and partial pressure
To calculate Kp
To consolidate learning with questions
LESSON 5: Changing conditions
Objectives:
To predict the qualitative effects of changes in temperature and pressure on the position of the equilibrium and the value of Kp
To explain the affect of a catalyst on Kp
To consolidate learning with questions
Homework booklet with answers
Leave feedback and enjoy !!
Get this resource as part of a bundle and save up to 19%
A bundle is a package of resources grouped together to teach a particular topic, or a series of lessons, in one place.
AQA AS and A2 level Unit 4: COMPLETE LESSONS Equilibria Kc, Kp and Le Chateliers
Bundle for both AS and A2 equilbrium Saving 19%
AQA AS and A2 Acid, bases, buffers, Kp, Kc and equilibrium COMPLETE LESSON PACKAGE
AQA AS and A2 Acid, bases, buffers, Kp, Kc and equilibrium COMPLETE LESSON PACKAGE Saving 19%
Something went wrong, please try again later.
This resource hasn't been reviewed yet
To ensure quality for our reviews, only customers who have purchased this resource can review it
Report this resourceto let us know if it violates our terms and conditions.
Our customer service team will review your report and will be in touch.